看股吧 www.kanguba.com [今日大盘指数 欧美全球股市行情 股票公式查询网站] 手机APP下载 | 手机访问 | 加入收藏 | 保存到桌面
看股吧
看股吧股票网-今日大盘指数 欧美全球股市行情 股票公式查询网站
股票查询: 行情分析 DDX指标 走势点评 股票公告 大事 主力持仓 股权质押 分红 大小非 十大股东 股本结构 高管持股 研报 高管 主营 龙虎榜 股吧
当前位置: 看股吧 > 看股知识
股票查询:

复合增长率是什么意思,复合增长率优点和局限性

2020/10/29 9:46:23
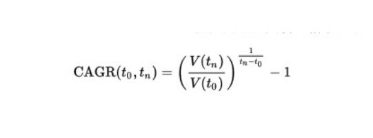
  在很多的经济分析报告或者是财务分析报告中会提到复合增长率(Compound Annual Growth Rate,CAGR)的问题,很多投资者理解为今年和之前的对比,其实并不是如此。复合增长率是什么意思表示的是一项投资在特地时间内的年度增长率,具体的计算公式如下: 复合增长率是什么意思

  复合增长率的计算是通过总的增长率的n次方根来计算的,这里n则是就是特点时期内的年数。假如投入一个项目在2005年1月1日时候投资10000美元,在其后1年后2006年资产增长到了13000美元;2年后2007年后变为了14000美元,3年后2008年变为了19500美元。根据上述的计算公式,符合增长率则是使用末期的今日19500和首年的金额10000相比得出数值是1.95;而后使用1/(2008-2005)次幂,也就是计算年数的次方根,最后去掉1,1.95的1/3次幂是1.2493,具体公司为1.95^(1/3)=1.24931.2493-1=0.2493,也就是计算的复合增长率为24.93%。

  上述就是复合增长率是什么意思以及计算公式,可以看出来这个计算并不是我们理解的那么简单,需要花费一定的时间去了解。这种符合增长率的计算对于不同的投资组合来是非常好的计算标准,使用一个板块以及1其他的市场指数的不同股票之间的表现,对于产业分析的时候,也能够不涉及国家以及产业的差异,是一种客观的评价标准。

  符合增长率具备优势的同时,也有一定的局现象。很多时候投资是不稳定的,在不同的时期的结果会出现显著的不同。这是进行投资的时候必然是要考虑的问题。符合增长率对于历史的数据的分析比较有效,不过对于未来预测就比较欠缺了。

  具体复合增长率是什么意思就是上述内容,更多金融知识的学习关注看股吧。

看股吧查股导航:个股行情分析查询 股票DDX指标查询 走势点评 股票公告查询 大事提醒 股权质押查询 股票分红查询 解禁查询 高管持股 高管查询
全志科技 300458+3.25% 公告 DDX在线 走势点评 限售解禁 高管 股权质押
福田汽车 600166+3.25% 公告 DDX在线 走势点评 限售解禁 高管 股权质押
马应龙 600993+3.24% 公告 DDX在线 走势点评 限售解禁 高管 股权质押
迈为股份 300751+3.23% 公告 DDX在线 走势点评 限售解禁 高管 股权质押
益生股份 002458+3.22% 公告 DDX在线 走势点评 限售解禁 高管 股权质押
鼎龙股份 300054+3.21% 公告 DDX在线 走势点评 限售解禁 高管 股权质押
贝达药业 300558+3.17% 公告 DDX在线 走势点评 限售解禁 高管 股权质押
金诚信 603979+3.17% 公告 DDX在线 走势点评 限售解禁 高管 股权质押
明阳智能 601615+3.17% 公告 DDX在线 走势点评 限售解禁 高管 股权质押
东杰智能 300486+3.17% 公告 DDX在线 走势点评 限售解禁 高管 股权质押
看股网力求但不保证数据的完全准确,不对因网站全部内容或部分内容而引致的盈亏承担任何责任,本站所有内容仅供参考。
本站不提供任何股票服务,站内广告不代表看股吧的观点,由此引起的一切法律责任均与本站无关,请股民自行识别判断,谨慎投资,预防上当受骗!
联系我们:nlfen9@hotmail.com
手机版(手机访问当前页面) | 手机APP下载 | 电脑端(适合电脑或大屏用户) | 备案号:沪ICP备2024045114号-121